PHSX 2220
EXAM SOLUTIONS

Spring 2009 - Carroll

Last Updated:  Thursday, March 11, 2010 01:02 PM

 

Listed below are the solutions to the exams given for Dr. Carroll's PHYS 2220 course for the Spring Semester of 2009. Both .pdf and .gif formats are provided.

Exam #

Date

Gif files

Pdf files

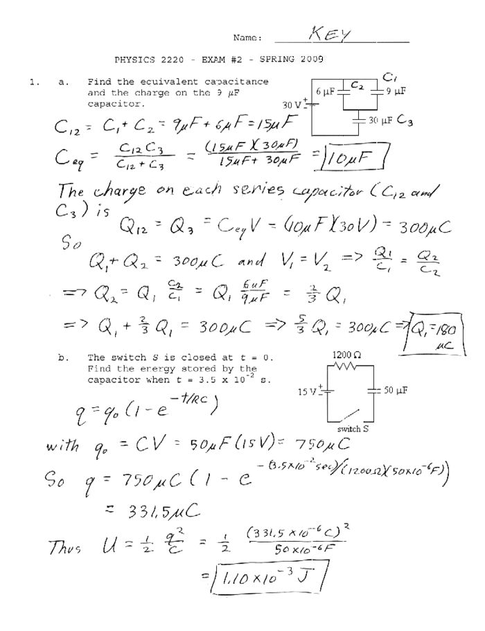
1 09/21/04 Exam1-1.jpg, Exam1-2.jpg, Exam1-3.jpg Exam1.pdf
2 10/12/04 Exam2-1.jpg, Exam2-2.jpg, Exam2-3.jpg Exam2.pdf
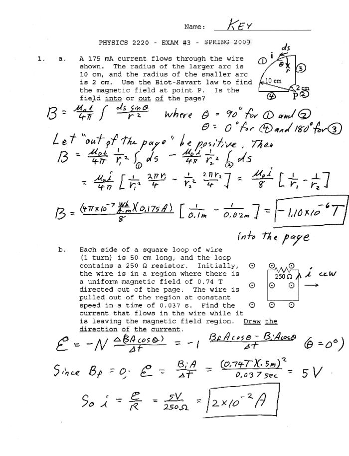
3 11/02/04 Exam3-1.gif, Exam3-2.gif, Exam3-3.gif Exam3.pdf
4 11/16/04 Exam4-1.gif, Exam4-2.gif, Exam4-3.gif Exam4.pdf
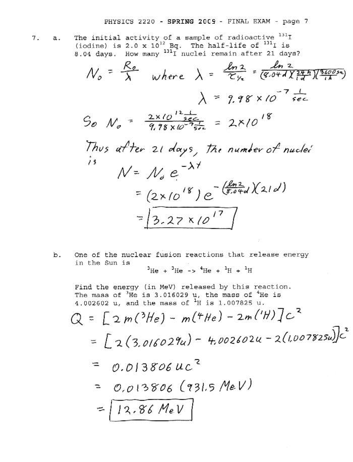
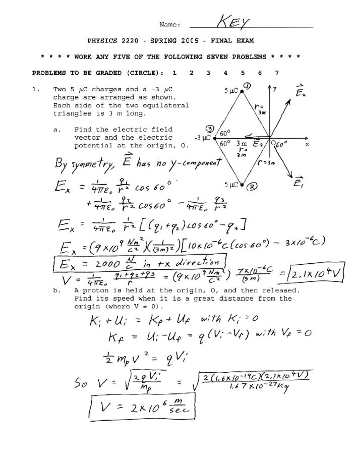
Final Exam 12/15/04 Final-1.gif, Final-2.gif, Final-3.gif, Final-4.gif, Final-5.gif, Final=6.gif,
Final-7.gif
Final.pdf

Go to the PHYS 2220 Home page