PHYS 2220
PRACTICE EXAMS and EQUATION SHEETS

Spring 2009 - Carroll

Last Update:  Thursday, March 11, 2010 12:59 PM

 

Listed below are the equations for Dr. Carroll's PHYS 2220 course for the Spring Semester of 2009.  Both .pdf and .gif formats are provided.

Exam

Practice Exam

Equation Sheet

Exam #1 Practice1-1.gif, Practice1-2.gif,
Practice1.pdf
Equation1.gif, Equation1.pdf
Exam #2 Practice2-1.gif, Practice2-2.gif,
Practice2.pdf
Equation2.gif, Equation2.pdf
Exam #3 Practice3-1.gif, Practice3-2.gif,
Practice3.pdf
Equation3.gif, Equation3.pdf
Exam #4 Practice4-1.gif, Practice4-2.gif,
Practice4.pdf
Equation4.gif, Equation4.pdf
Final Exam Practice5-1.gif, Practice5-2.gif,
Practice5.pdf
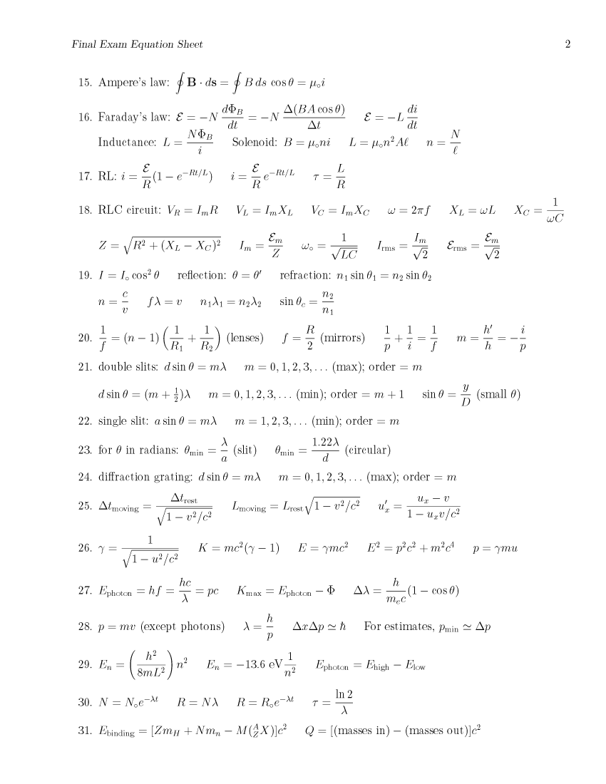
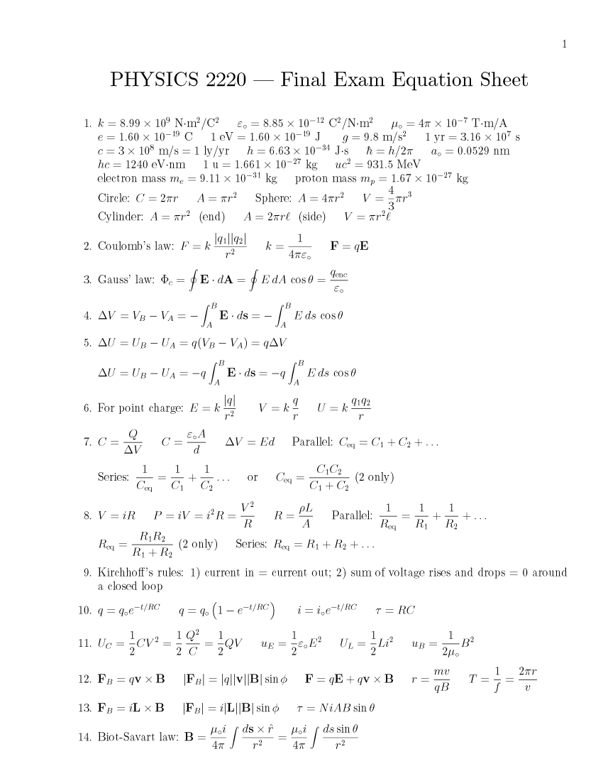
FinalEq-1.gif, FinalEq-2.gif, FinalEq.pdf

 

Go to the PHYS 2220 Home page